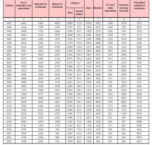
Prema evidenciji Hrvatskog zavoda za zapošljavanje Područnog ureda Krapina stopa nezaposlenosti u KZŽ nikad nije bila niža. Prema podacima s kraja lipnja na zavodu je registrirano 1.668 osoba. U usporedbi sa svibnjem 2024. broj nezaposlenih smanjio se za 0,4% ili 7 osoba, a u odnosu na lipanj 2023. godine broj nezaposlenih manji je za 10,3% ili 191 osobu. Župan Željko Kolar istaknuo je da na ovom odličnom rezultatu prije svega treba zahvaliti našim poduzetnicima, gospodarstvenicima i obrtnicima te da će županija i dalje nastojati biti podrška u njihovom radu.

BROJ PREGLEDA: 61


